Quảng Cáo
0943778078
Thứ Tư, ngày 15/04/2026 20:29 PM (GMT+7)
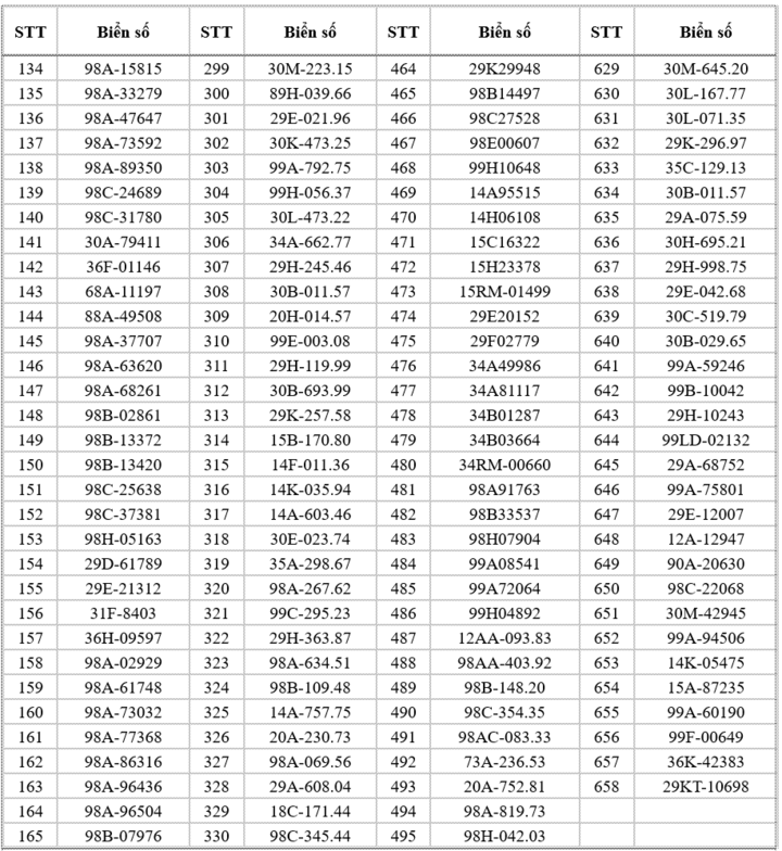
Tuần từ 6-12/4, Phòng Cảnh sát giao thông Công an tỉnh Bắc Ninh phát hiện và xử lý 658 xe vi phạm chạy quá tốc độ quy định trên địa bàn.
Danh sách 658 xe vi phạm tốc độ cụ thể như sau:
Xe ô tô chạy quá tốc độ trên Quốc lộ 17. (Ảnh: Công an Bắc Ninh)
Mức phạt lỗi chạy quá tốc độ
Với xe máy: Chạy xe quá tốc độ quy định từ 5 km/h đến dưới 10 km/h bị phạt tiền từ 400.000 đồng đến 600.000 đồng.
Chạy quá tốc độ quy định từ 10 km/h đến 20 km/h bị phạt tiền từ 800.000 đồng đến 1.000.000 đồng.
Chạy xe máy quá tốc độ quy định trên 20 km/h bị phạt tiền từ 6.000.000 đồng đến 8.000.000 đồng; đồng thời người vi phạm sẽ bị trừ 4 điểm giấy phép lái xe.
Với ô tô: Chạy quá tốc độ quy định từ 5 km/h đến dưới 10 km/h bị phạt tiền từ 800.000 đồng đến 1.000.000 đồng.
Chạy quá tốc độ quy định từ 10 km/h đến 20 km/h bị phạt tiền từ 4.000.000 đồng đến 6.000.000 đồng. Đồng thời, người vi phạm sẽ bị trừ 2 điểm giấy phép lái xe.
Chạy ô tô quá tốc độ quy định từ trên 20 km/h đến 35 km/h bị phạt tiền từ 6.000.000 đồng đến 8.000.000 đồng; trừ 4 điểm giấy phép lái xe.
Chạy quá tốc độ quy định trên 35 km/h sẽ bị phạt tiền từ 12.000.000 đồng đến 14.000.000 đồng, trừ 6 điểm giấy phép lái xe.
Khi đến nộp phạt, người dân cần chuẩn bị các giấy tờ sau:
Đối với xe ô tô: Thông báo vi phạm của cơ quan công an, đăng ký xe, giấy chứng nhận kiểm định an toàn kỹ thuật và bảo vệ môi trường, giấy phép lái xe của người vi phạm, căn cước công dân của người vi phạm (với mỗi loại giấy tờ photo 1 bản).
Đối với xe mô tô: Thông báo vi phạm của cơ quan công an, đăng ký xe, giấy phép lái xe của người vi phạm, căn cước công dân của người vi phạm (với mỗi loại giấy tờ photo 1 bản).
Theo Văn Chương ([Tên nguồn])
Nguồn: [Link nguồn]
-15/04/2026 14:38 PM (GMT+7)











